Terminologies
Collection | The folder containing data of an asset/model on Akselos Cloud or users’ computer |
Components | Components created by the componentization process to use with Akselos Integra |
Port | A mesh node or surface is used to connect two components together |
Nodeset | A mesh node assigned with a certain ID number |
Model ribbon | An Akselos Modeler ribbon containing tools for model assembling and management |
Ribbons | The top-sided toolbars of Akselos Modeler |
Property Tree | A panel at the left bottom of Akselos Modeler, where shows properties of user selection |
1. Introduction
Shell elements are used to efficiently and economically model structures where one dimension is much smaller than the other dimensions (e.g. the thickness is much smaller than the length of the component). They are widely used in the analysis of piping systems, curved panels, pressure vessels, ships, and others.
In this tutorial, we will again simulate the cantilever beam model similar to Cantilever Beam with 1D Beam Elements but with shell elements. This tutorial will guide you on how to create a cantilever beam model using beam shell components in your collection. Therefore, it is recommended that you practice the 1D Cantilever Beam Article to get familiar with the simulation process (especially applying loads and boundary conditions) before doing this tutorial.
Figure 1.1. 2D cantilever beam problem workflow
Journey 1: We have prepared the ShellTutorial collection as a sample collection which has the RB-FEA components and a complete model. In our sample collection, you are only granted it with the Read access permission, which means you just can import them to your local machine and cannot submit any changes that affect the data on the Akselos Portal (Read Article - Who can access your Organization data? - to know more about access type). However, you can submit the solving request for our complete model to the Cloud. The components in this collection are already trained, hence you can solve them with either RB-FEA or FEA Solver Strategy. Once you have solved the problem and received the solution, you can check the solution configurations and compare them to the theoretical results.
Journey 2: In this journey, users will be guided to solve the beam problem with the shell element from scratch. Require that users have an organization to be able to create a collection and train the RB-FEA components.
We will go through this article as Journey 2 with the sample collection - ShellTutorial.
2. Problem Description
In this tutorial, we use five T-beam Shell components to create the beam model (length = 5*0.75m = 3.75m). The model is fixed on one side and free on the other, under a uniformly distributed load W = 1 kPa. The model schematic and beam cross-section are shown in the figure below.

Figure 2.1. Cantilever beam with a uniformly distributed load
The T-beam Shell component has the cross-section geometry and properties as below:
- Total length (L) of 0.75 (m)
- T-beam cross-section (m): TFw=0.06; TFt=0.01; Wh=0.125; Wt=0.01
- Young’s modulus (E) of material is 200e9 (Pa), Poisson (ν) is 0.3
- Mass density: 7850 kg/m3

Figure 2.2. The beam Cross-section
3. Before We Start
Akselos Modeler - Our simulation is required to build and run solving for this problem.
To follow the instructions below, please notice the point below:
- Journey 1: A sample collection has been prepared for you to use as a reference. Find the ShellTutorial here on Akselos Portal and import it to your local machine. You just need to import this collection and move to Step 9 in the Implementation section.
- Journey 2:
- A new collection in your Organization is required to store the model and train the RB-FEA components on Akselos Portal (https://portal.akselos.com). Read more Start building your asset with a new collection to know how to create the collection.
- The mesh file has been prepared. It is used to import to Akselos Modeler to build the model. Find and download to your local computer - T-beam-0.75 here on Akselos Portal.
Note:
▶ If you have not installed Akselos Modeler yet, please see Akselos Modeler - Installing, Updating and Managing the Akselos Simulation Software to download and install the software.
▶ If you have trouble accessing to any of those prerequisites. Please contact us at: support.akselos.com
As a reference, follow the steps below to create and import the ShellTutorial collection into Akselos Modeler:
Create Collection:
- In your Organization on Akselos Portal, click on New Collection → Enter the name of the collection and select elasticity physics type → Click on the Create button.
Figure 3.1. Creating collection on Akselos Portal
Import Collection:
- In Akselos Modeler, click on the Cloud tab on Ribbons → Authentication → Enter your username and (password or token) → Click on the Check button and wait for Authentication status to turn green and show Authentication successful.
Figure 3.2. Checking authentication
- On the Collections tab, click on Import Collection… → On the Import Collection window, find and select ShellTutorial collection → Click on the Import button to pull the collection into your computer. You will receive a success message on the Logs screen when the collection is successfully imported.
Figure 3.3. Importing ShellTutorial collection into the local machine
- On the File tab, click on New Model from Current Collection. The collection is ready to use after this step.
Figure 3.4. Create a new working space in the ShellTutorial collection
4. Implementation
In the Implementation section, we will show you a step-by-step in detail guide on how to analyze the beam problem with the 2D shell elements in Akselos Modeler (Follow Journey 2).

Figure 4.1. 2D cantilever beam problem workflow (Journey 2)
STEP 1: Import Mesh Files

Figure 4.2. Create Model - Import Mesh files
Follow the steps below to import the component from the mesh file into Akselos Modeler:
- Click on the Collections ribbon → Create → Component Type.

Figure 4.3. Opening Component Type
- In the tool window, click on the Add Meshes button → Find the T-beam-0.75.inp file that you have downloaded from Akselos Portal → Click on the Create button (You will receive a success message when the mesh file is successfully imported) → Click on the Close button to exit the tool window.

Figure 4.4. Adding mesh file and creating component
- Change to the Collection ribbon to check that the mesh file has been imported as a component.

Figure 4.5. Checking component
The recently imported component is the data of collection, now we have to import this component to the environment working space
- Change to the Model ribbon → Click on the Add button →Component(s)→ In the tool window, select the T-beam-0.75 component → Click on the Add button. Once added successfully, the component will be shown on the Graphic Window with the random position.

Figure 4.6. Adding the T-beam-0.75 component to the Graphic Window
Figure 4.7. T-beam-0.75 component on the Graphic Window after adding successfully
STEP 2: Assemble Model

Figure 4.8. Create Model - Assemble Model
Follow the steps below to import the component from the mesh file into Akselos Modeler:
Figure 4.9. Resetting the component to the original position
Model Moving - Move/Connect tool article is useful for you to know and implement in this step.
Figure 4.10. Cloning and connecting five components together
STEP 3: Constrain Model

Figure 4.11. Model Set-Up - Constrain Model
After assembling the model, we can start applying boundary conditions at one end of the model.
A related article that is useful for you to know and implement in this section: Boundary Conditions.
To constrain one beam end, follow the steps below:
- Turn on Unconnected Ports and Boundary Conditions in the Configure View Settings to show the port at the beam end.
Figure 4.12. Turning on Unconnected Ports and Boundary Conditions
- Select the port at the beam end → Select the option in the Property Tree as in the figure below.

Figure 4.13. Constraining the port

Figure 4.14. The model with a constrained port
STEP 4: Apply Loads

Figure 4.15. Model Set-Up - Apply Loads
Before applying the normal load on the top surface of the beam, we need to store the boundary set. Follow the steps below to do it:
- Add new Boundary Sets Selection.
- Click on the recently created Boundary Sets Selection → Select all top surfaces of the beam to store them. The selected one will be highlighted on the Graphic Window.

Figure 4.16. Storing boundary sets
Once we have the stored selection to apply the normal load on, we will create the normal load following the steps below:
- Create load under Load Cases.
- Create load in the newly created load case → Select Normal Load.
- Set up load as in the figure below.

Figure 4.17. Creating the Normal Load

Figure 4.18. Setting the Normal Load
STEP 5: Select Solver Options

Figure 4.19. Model Set-Up - Select Solver Options
To be able to proceed to solve the model, we have to set solver options on the Property Tree. With all above settings, we can solve the model with a few steps but according to the FEA method. However, the solving process may take a lot of time with this traditional method. Therefore, we will simulate the model with the RB-FEA strategy.
- Choose RB-FEA for the Solver Strategy and Static Structural for the Solver Type.

Figure 4.20. Setting Solver Option
STEP 6: Create Scenarios

Figure 4.21. Model Set-Up - Create Scenarios
- Set Scenario: Under Scenario on the left panel, there is Default Scenario and we use it. Click on Default Scenario → See the Property Tree and set the coefficient of Load Case 1 to 1.0.
Figure 4.22. Setting Scenario
- Set Solve List: Since there is only one scenario, select the default in Solve List to check that the default scenario is turned on.
Figure 4.23. Setting Solve list
STEP 7: Save & Sync

Figure 4.24. Training - Save & Sync
Before training the RB-FEA components, we have to save the aks file to save all settings of the model and sync this collection to Akselos Portal.
- Save aks File:
- Click on the File tab → Save.
Figure 4.25. Saving aks file
- The Select destination to save the file window appears, enter the name into the File name box then click the Save button. You will receive a success message when the file is successfully saved.

Figure 4.26. Naming and saving aks file
- Sync Collection:
- Click on the Collections tab → Sync with Portal.
Figure 4.27. Syncing collection
- Click the Commit button when this window appears.

Figure 4.28. Committing for synchronization
STEP 8: Training Methodology

Figure 4.29. Training - Training Methodology
Component Training (or Component Pre-computing/Component Pre-analysis) is a crucial step of Akselos’ workflow. It uses Akselos smart algorithm to generate training datasets that cover many possibilities of models based on their parameters' settings. The training dataset, which is the output of this training process, is used to perform RB-FEA analysis.
Akselos Portal supports users to perform the Component Training process which is required before doing any RB-FEA solves.
- Click on the Collections tab → Open Portal in Browser.

Figure 4.30. Opening Akselos Portal from Akselos Modeler
- Enter your username and password to log in.

Figure 4.31. Logging in to Akselos Portal
Training (Pre-computing): Read Exploring Component Pre-computing setting options to know more about the options in this section.
- Click on the Training button on the left panel to open the Training tab.

Figure 4.32. Opening the Training tab
- Expand Advanced training options (elasticity) → Select these options as in the figure below → Tick on the model (T-beam.aks) → Click on the Train 1 Selected Model(s) button.

Figure 4.33. Setting for training
In Advanced training options (elasticity), we choose:
- Enrichment - Global Model: Because this model is small (less than 5 million FEA degrees of freedom).
- Physics Type - Elasticity: Because the model is solved with a Static Structure solver type.
- Create visualization datasets: turning on this option will create datasets that can make visualization run faster by storing extra visualization data on disk.
- Number of cores per "Train component" job - 1: Because this model is small. 1 core is recommended.
- Train the components from the given aks file(s) only: If you have more components in your collection, turn on this option to only train the component(s) which is included in your aks file(s).
- Leave the default for other options.

Figure 4.34. Tracking the training job
STEP 9: Solve

Figure 4.35. Solve - Submit Solve
Run Solving: Change to the Solutions ribbon → Click on the Solve button. The solving request will be submitted to Akselos Cloud. You will see the status of this request on the Solution tree. You can see the results once the solving is done, which is usually within seconds with Akselos solver.
Figure 4.36. Solving model
Users also can track the job on Portal. Once the status is Success, the visualization datasets will be downloaded to Akselos Modeler, it takes a few seconds according to the model size.
Figure 4.37. Tracking the solving job
5. Results Verification

Figure 5.1. Validate - Solution Examination
The solution will be performed after downloading. The maximum deflection of the T-cross-section cantilever beam from the RB-FEA solution is 2.079 (mm).
Figure 5.2. T-beam solution - Displacement z
Theoretical Results Comparison:

Figure 5.3. Validate - Theoretical Results Comparison
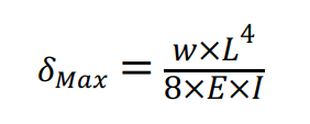
To validate the result obtained from the Akselos RB-FEA solver, we will compare the maximum deflection with an analytical solution. According to the theory, the maximum deflection of the beam is given by the following formula:

Where:
- E is Young’s modulus. In this tutorial, E = 200 GPa.
- I is the moment of inertia which depends on the cross-section of the beam. In this case, the cross-section is a T-section with a length is 0.75 (m) and a thickness is 0.1 (m).
The moment of inertia is computed using the following equation:

Where:
- cog is the center of gravity in the T-section:

- w is the uniform load applied on the beam which can be calculated from the normal load (1 kPa) and the beam larger (0.06 m):

- L is the length of the beam, L = 3.75 m.
Based on these values, we obtain:
This matches the RB-FEA result with a discrepancy of 2.44% which is expected since the beam theoretical model is based on certain assumptions (e.g. that the cross-sections must remain orthogonal to the neutral axis) which are not satisfied exactly in the shell model.