What is in this article?
1. Why is it necessary to edit components?
4. How to create a new face port?
5. How to add new load surfaces?
7. How to create a mapping function?
1. Why is it necessary to edit components?
Based on the state-of-the-art Reduce Basis - Finite Element Analysis (RB-FEA) technology, Akselos significantly accelerates the analysis of huge models (100 million degrees of freedom or more) without sacrificing accuracy and details. RB-FEA technology requires a component-based approach where components are the core of the model. Components contain information about material, loading surface, connection surface (port), cross section …. Components created by the componentization process to use with Akselos Integra.
'Editing components' plays an important role in the modeling process:
- It allows users to add missing information directly in Akselos Modeler instead of re-importing the components.
 - It allows users to define parameters that the meshing process cannot do.
 - It also allows users to customize the model to suit its intended use.
 

In this article, we will discuss tools to edit components in Akselos Modeler.
Figure 1. Component Editor tool
Terminologies
Component Editor  | Tools to modify components in Akselos Modeler  | 
Ports  | The common entities including face ports and node ports used to connect elements/components  | 
Boundary Sets  | The common entities including nodes, edges, and surfaces used to apply load or boundary condition  | 
Subdomains  | A group of mesh elements having the same properties (material or other common properties)  | 
Operators  | Operators containing properties for load case  | 
2. How to clone components?
Clone component aims to create a new component that is identical to the original component for advanced editing purposes without affecting the original component.
Users can clone a component for any advanced purpose by right-clicking on a component in the Collection ribbon → Click on Clone → Name the new component in the pop-up mini window → click on the Save button.
 Figure 2. Copying a component
Figure 3. Specify Name For New Component window
The generated component can replace the original component in the model by clicking on the box: “Replace the original component in the model with the cloned component”.
Figure 4. The cloned component in the components branch
3. How to delete components?
For components that are no longer used in the collection, users can remove them from the collection to make their collection more compact and lighter.
Users can remove a component out of the collection by right-clicking on that component → Click on Delete this Component Type. However, this option is only available when the component is not assembled in a model or not currently added onto the Graphics Window.
Figure 5. Deleting a component
4. How to create a new face port?
Typically, the ports of a component are defined in the mesh file. However, Akselos also supports tools for users to define/edit ports via user interface.
Before creating new face ports, users have to create a new surface and then this new surface can be assigned to a new face port.
To create a new surface, right-click on Boundary Sets specification of a component → click on Create Boundary Set → Select Surfaces.
Figure 6. Right-clicking on the Boundary Sets specification
Then, directly double-click on the Boundary Sets specification or click the right arrow button beside the Boundary Sets specification to see the newly created surface. In the Graphics Window, click to add/remove elements of this new surface.
Figure 7. Creating a new surface
After having a new surface, users can assign it to be a new face port by clicking on the New Surfaces and click Create New Port Type button in the Property Tree.
Finally, click the Save button on the Collection ribbon to save the changes to the collection. Port with id 1 will be shown in the Ports of the component. At the same time, a new port will be created in Ports field.
Figure 8. A new port type has been created
As shown in the following figures, we add a component that just has been edited and see what happens in the model.
Figure 9. Adding the edited component to the Graphics Window
That component and its clone are easily connected because of sharing the same face port.
Figure 10. The component and its clone are easily connected
5. How to add new load surfaces?
Typically, the load surfaces of a component are defined in the mesh file. However, Akselos also supports tools for users to define/edit load surfaces via user interface.
Before creating new face load surfaces, users have to create a new surface in Boundary set. After that, define the operator for this new surface.
To create a new surface, right-click on Boundary Sets specification of a component → click on Create Boundary Set → Select Surfaces.
Then, directly double-click on the Boundary Sets specification or click the right arrow button beside the Boundary Sets specification to see the newly created surface. In the Graphics Window, click to add/remove elements of this new surface.
Figure 11. Creating a new surface 
Then, right-click on the Operators specification → Select Create Operator Type, a table containing list of sources/loads operators will appear. There are many options, but Normal Load in Solid Surface field is selected for the demonstration purpose.
 Figure 12. Create Normal Load operator
As shown in the figure below, a new operator (New Normal Load) has been created in the Operators specification. By clicking on that operator, parameters of this operator will be shown in Property Tree.
Figure 13. New Normal Load 
In order to apply this operator type for the surface, click on that operator, parameters of this operator (Target, Arguments, Other Properties) will be shown in the Property Tree.
The Target allows users to decide which surface will be applied to the selected operator by ticking the corresponding checkbox. The figure below shows that the surface with name New Surface is chosen.
Figure 14. Select surface for New Normal Load operator
Finally, click the Save button on the Collection ribbon to save the changes to the collection. The edited component has been added to the model as shown in the following figure.
Figure 15. Applying normal pressure 10kPa on the surface of a cantilever beam
6. How to modify material?
The material of a components in Akselos can be defined as a unique value, discrete values, or value range. This allows the users to customize components easily.
Material is set as a unique value: This is a default option when importing components into the software. Each material parameter will be set as unique value.
Users can freely modify the value of the material in the Component Editor. However, this requires the users to re-train the model containing the modified components for RB-FEA solving.
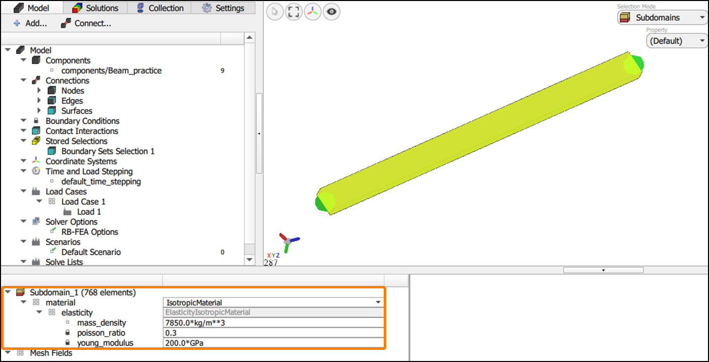
Figure 16. Fixed value for Young Modulus
Figure 17. Young Modulus has a fixed in the model
Material is set as a discreate value: Each material parameter of the component can be defined with multiple values in the Component Editor. It allows the users to use the material values (in the discreate values) for RB-FEA solving without training.
For example: When setting the Young Modulus as discrete_values([200.0*GPa, 210.0*GPa]). This model can solve RB-FEA with Young Modulus value of 200.0*Gpa or 210.0*Gpa without re-training.
Figure 18. Discrete values for Young Modulus
Figure 19. Young Modulus value in the model
Material is set as a value range: Each material parameter of component can be defined as a value range in the Component Editor. It allows the users to use the material values in the determined range for RB-FEA solving without training.
For example: When setting the Young Modulus as value_range(200.0*GPa, 210.0*GPa). This model can solve RB-FEA with Young Modulus value of 205.0*GPa without re-training.
Figure 20. Value range for Young Modulus
Figure 21. Young Modulus value in the model
7. How to create a mapping function?
This is an advanced feature. Users will learn how to create and use mapping functions to change the geometry or properties of components. We will also present the definition of the mapping function to help users understand how it works. However, please note that Akselos Modeler only supports mapping functions for solid elements.
What is mapping function?
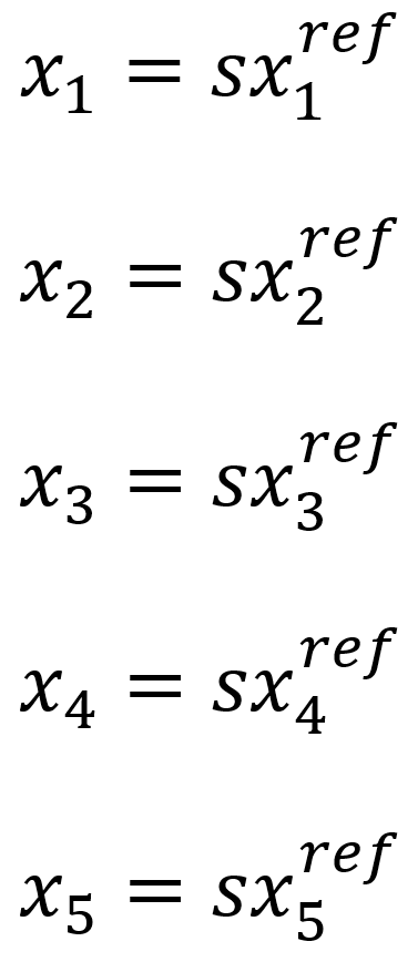
A mapping function is a function that transforms the model from a reference state to a real state, governed by the current choice of geometric parameter. A mapping function is described in mathematical form as:

For example, a reference line with 5 nodes, which have coordinates from x1 to x5 . To scale the line, we apply a simple scaling function f, with scaling factor s. The new node coordinates will be:

In this case, the reference line will be scaled as shown in the figure below:

Figure 22. Illustration of mapping function
How to create mapping function?
To demonstrate how to create a simple scaling mapping function in the length direction, the cantilever beam in the previous sub-section which has already added a new parameter factor will be used as an example. Note that the axis along this beam is in the x-direction. In this case, the parameter factor will represent the scaling factor s of the above equations.
Right-click on the Mapping Functions specification of the component → Click on Create Mapping Function.
Figure 23. Creating a mapping function
A new mapping function with a default setup will be shown. Users can set a name for this function by double-clicking on it in the Mapping Functions specification. For example, this function is named Scale.
Figure 24. A new function has been added
Based on the default example of the software, users can modify to get the desired mapping function. In this case, we want to scale this component lengthwise in x-direction. To do that:
- In Mapping Function field, define function for the mapping function. Multiply the x(ref) with the length variable. There is no scaling in y and z-directions, so they remain the same.
 - In Other Properties field, Define parameter length_factor. In this case, this variable will be defined as a range with a minimum value is 0.5 and a maximum value is 2.
 - In the Subdomains, choose which components will apply this mapping function.
 
Figure 25. The scaling geometry function has been applied
Finally, right-click on the collection name → Select Save Changes to save all the settings, which will apply the mapping function to the beam component.
 Figure 26.  Save collection
How to use the mapping function in the model?
To see what happens to the cantilever beam when changing the parameter length_factor, add that component to the model → Change the Selection Mode to Components → Click on that component on the Graphics Window → locate the mapping_function field on the Property Tree → input the value of the parameter length_factor.
Figure 27. Change the value of length_factor
Table 1. Component geometry changing with different values of length_factor
Afterward, synchronize the component to Akselos Cloud to perform FEA solve or run the component training process to enable an RB-FEA solve.
Note: Components with mapping functions will significantly increase the training time. Hence, it is recommended that each component has a maximum of two geometric parameters.
8. How to add a new property?
These properties are variables, they are defined as a unique value, discrete values, or value range. They are used for many different purposes such as replacing material values, replacing properties in the mapping function.
In the example below, We introduce how to add a property E= value_range(200.0*GPa, 210.0*GPa) for young modulus of the material.
To create a new property, in the Collection Editor, click Component that you want to add properties -> Right click on Other Properties of Property tree, select Insert New … /Generic Property/Property
Define property which was just added:
- Name of property: E
 - Value of property: value_range(200.0*GPa, 210.0*GPa)
 

Figure 28. Adding a property
To apply new property to the subdomain of the component: In Collection ribbon, select Subdomains -> In young_modulus of material, enter name of property.
Thus, the value of young modulus for this component is E= value_range(200.0*GPa, 210.0*GPa)

Figure 29. Applying a property to component
Finally, right-click on the collection name -> Select Save Changes to save all the settings.
In addition, users can also define properties as a unique value, discrete values, value range.

Figure 30. property types (a: unique value, b: discrete values, c: value range)