Nonlinear Analysis Validation
Akselos has showcased the power and efficiency of its software by conducting thorough analyses across a spectrum of models, from straightforward to intricate. In this report, we highlight the precision and dependability of Akselos nonlinear solvers.
Specifically, we delve into nonlinear contact and elastoplasticity analysis. Our demonstration begins with a set of validation tests, incorporating scenarios grounded in Hertzian theory, followed by an exploration of nonlinear analysis using a bearing model.
There are three models for the Nonlinear Analysis validation:
Hertzian model:

Figure 1: Hertzian model
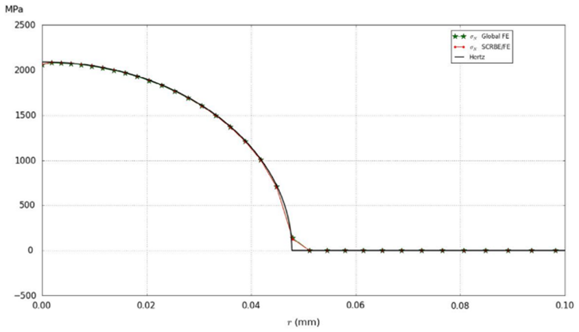
Figure 2: Normal stress on the contact surface calculated from Akselos FEA and RB-FEA solutions, and compared to the reference solution based on Hertzian theory.
Full Bearing model:
Figure 3: Full Bearing model
Figure 4: Solutions of radial load case
Cylinder model:

Figure 5: Cylinder model

Figure 6: Von Mises stress before nonlinear collapse. (Displacement scaling = 50)
Download the Nonlinear Analysis report now: